レーザー技術・サポート情報
半導体レーザの基本動作原理や、データシート上の記号・特性定義、取扱い時の注意事項などの技術情報をご紹介します。また、よくあるご質問と回答を掲載しています。ご検討、ご使用の際にご一読ください。
レーザダイオードの基本構造
1. GaAlAs LD の構造
初めに誘導放出により光増幅作用を持つ活性部 (活性層) をp形半導体で作ります (図1(a))。ここに少数キャリアを注入するためにp-n接合を作り (ヘテロp-n接合),順方向バイアスをかけるとn形領域の電子がp形領域へ注入されます。ここでp形活性層のp-n接合の反対面にバンド・ギャップ幅の大きいp形半導体を接合 (ヘテロ・アイソ接合) させると,注入されたキャリアはヘテロ障壁のためにp形活性層中に閉じ込められる形となり,反転分布が作りやすく,発光強度が増加します。これがダブル・ヘテロ接合構造と言われるものです。
GaAlAs LDは図2のように活性層はGaAsあるいはGa1-yAlyAsで形成されており,厚さは0.05~0.2μmで,この活性層を,クラッド層と呼ばれるp形Ga1-xAlxAsおよびn形Ga1-xAlxAs(x>y)でサンドウィッチしています (ここでxおよびyはAl混晶比)。X=0.3のときクラッド層のバンド・ギャップ幅は1.8eVで,GaAsの1.4eVに対し0.4eVの差があるので,ここで順方向バイアスを印加するとキャリアはヘテロ障壁のために0.05~0.2μmの活性層に閉じ込められ,反転分布が生じて利得が増加します。その上GaAsの屈折率がGa1-xAlxAsクラッド層のそれよりも数%高いために発生した光が活性層中に閉じ込められます。また,Ga1-xAlxAsクラッド層にしみ出た光はこの部分のバンド・ギャップ幅が大きいために吸収をうけないので効率よくレーザ発振を起こすことができます (図1)。なお,GaAs活性層は薄いほど発振に必要なしきい電流密度は小さく,現在は1~2kA/cm2という低いしきい電流密度が得られ、このため室温連続発振(C.W.)が可能となっています。
2. LD の発振モード
レーザ発振状態では,レーザ共振器内で光が往復して反射鏡と平行な等位相面を持つ光の定在波ができます。
この定在波は図3に示すように共振器長方向 (Z方向) の状態を表わす縦モード,共振器長方向と直角方向座標に関する状態を表わす横モードで表わされます。なお横モードには活性層に垂直な方向の垂直横モード,水平な方向の水平横モードの2種類があります。
(1) 縦モード
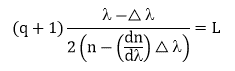
図4からわかるように,レーザ共振器長方向(Z方向)では半波長の整数q倍の定在波が立つことができます。
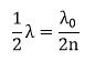
共振器長をL,媒体の屈折率をnとすると半波長は
λ0 : 真空中での波長
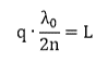
と表わされます。この整数 q 倍が共振器長 L に等しいので、次式のようになります。
通常,共振器長Lは波長に比べて非常に長いので,波長のわずかに異なる多数の波長の光が共振可能となります。この共振し得る波長は“縦モード”、qは“モード次数”とよばれており,縦モードの中で利得が最大となる波長の附近でレーザ発振が生じます。
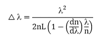
モード次数を1大きくした隣の縦モードでは,屈折率の波長分散を考慮すると,
△λ : 縦モード間隔,
となります。
モード次数qが1より十分に大きいことを用いて整理すると、縦モード間隔△λは以下の式で求められます。
半導体レーザの場合,温度が変わりバンド・ギャップ幅が変ると最大利得の波長が変ります。GaAlAs・ダブル・ヘテロ構造レーザの場合約0.20nm/℃です。したがって,温度が変ると縦モード間隔△λで発振波長は飛び移り,高温になるほど長波長側に移行します。また連続 (C.W.) 動作の場合注入電流を増加させ,光出力を増すと,活性層の温度が上がるために同様の現象となります。
(2) 垂直横モード図5に示すように活性層に垂直な方向はヘテロ接合に囲まれており,GaAlAsレーザでは活性層GaAs(または、Ga1-yAlyAs)とクラッド層のGa1-xAlxAs(x>y)との間に数%の屈折率差があるため,光は活性層内に閉じ込められます。この量は活性層の厚さにより異なり,厚さが厚いと閉じ込め量は大きくなり,反対にうすいと光はクラッド層にしみ出します。素子内部のレーザ光分布の幅は活性層の厚みに依存し,これが0.3~0.4mmのときに最小となります。このため劈開面から放射されるレーザ光の放射角は回折によりこのときに最大となります (図6)。一般に半導体レーザでは,素子内部のレーザ光分布幅が波長に比べて同程度か小さいために外部のレーザ光放射角は非常に大きくなります。このことは通常のガスレーザや固体レーザと大きく異なる点です。
(3) 水平横モード
活性層に水平方向には導波作用をもたせるものが何もないので,何らかの形で光導波路を形成する必要があります。そこで図3のように共振器長方向に電流を流す領域を限定して,その部分だけでレーザ発振を生じさせます。この構造がストライプ構造です。単に電流のみを限定したストライプ構造の例を図7に示します。
より良く横モードを制御しようとすると以上述べた単なるストライプ構造でなく,これに屈折率分布か損失分布を構造的に作りつける必要があります。この種の例としてリッジ構造レーザダイオードの構造例を図8に示します。
このように導波機構を構造的に作りつけると,安定な単一基本横モードが得られます。