日本皮膚科学会誌 THE JOURNAL OF DERMATOLOGY Vol.31 No.12(2004年12月)
Delta-Aminolevulinic Acid-Based Photodynamic Therapy
for Acne on The Body
Makoto Kimura1,2, Yoshiyasu Itoh3, Yoshikazu Tokuoka1,
and Norimichi Kawashima1,4
1: Faculty of Enginnering, Toin University of Yokohama, 1614 Kurogane-cho, Aoba-ku, Yokohama Japan.
2: Ushio Inc, 2-6-1 AsahiTokai-Building 20F, Otemachi, Chiyoda-ku, Tokyo Japan.
3: Daikanyama Clinic of Dermatology and Plastic Surgery,
1-12-12 Runesu E.B.I 6F, Ebisu-nishi, Shibuya-ku, Tokyo Japan.
4: Biomededical Engineerring Center, Toin University of Yokohama,1614 Kurogane-cho, Aoba-ku, Yokohama Japan.
Reprint requests to: Yoshikazu Tokuoka, Ph.D.,
Faculty of Engineering, Toin University of Yokohama, 1614 Kurogane-cho, Aoba-ku, Yokohama 225-8502, Japan.
Received March 17, 2004; accepted for publication june 28, 2004.
Abstract
Intractable acne on the body was clinically treated with photodynamic therapy (PDT) combining oral administration of δ-aminolevulinic acid (ALA) with polychromatic visible light from a metal halide lamp. The total number of body acne patients was 51. A 10 mg/kg B.W. of ALA was administered to the patients, and the acne lesions were exposed to the light emitted from the metal halide lamp. The wavelengths of the light ranged from 540 to 800 nm. The diameter of the irradiated area and the irradiating distance from the lamp were 100 mm and 130 mm, respectively. Under the irradiation conditions, the total fluence rate and the energy-density uniformity of the light were 69.2 mW/cm2 and 11.5 %. The total light energy dose in one session was 60-80 J/cm2 for the body. All patients underwent two sessions of PDT and received no other treatments after PDT or during the follow-up period. The interval between the two PDT sessions was 2-4 weeks. The physician’s clinical assessment scores as worsened, unchanged, improved, and marked improved were 0 (0 %), 4 (7.8 %), 16 (31.4 %), and 31 (60.8 %) patients, respectively. Adverse effects of very slight discomfort, burning, and stinging were reported during the irradiation. The blood tests of patients before and after oral administration of ALA demonstrated that no liver dysfunction occurred in this study with ALA dosages within 10 mg/kg B.W. Consequently, orally administered ALA-PDT with the metal halide lamp was considered to be effective for treatment of acne on the body.
Key words: photodynamic therapy; body acne; δ-aminolevulinic acid; oral administration; metal halide lamp
I. INTRODUCTION
Typical acne treatments in Japan include administration of antibiotics, vitamins, and chemical peeling with α-hydroxy acids. Photodynamic therapy (PDT) using δ-aminolevulinic acid (ALA) has also been used to treat acne vulgaris. It has already been reported that intractable acne can be completely treated by ALAbased PDT (ALA-PDT) (1, 2). In this acne treatment with ALA-PDT, ALA was topically applied to acne lesion with a light-shielding dressing, and a laser light source was employed to provide the light dosage. However, the irradiation area of laser light was so small that it took a long time to illuminate the whole acne lesion, especially when treating acne on the body. Thus, an ALA-PDT treatment for acne lesion without causing suffering to patients is needed.
It is well known that ALA can be administered not only topically but also orally (3). In addition, we have already developed a new metal halide lamp for ALA-PDT treatment of tumor tissues, its the irradiation area is larger than that of laser light sources (4). We herein report the treatment of intractable acne on the body using orally administered ALA-PDT with the metal halide lamp and discuss the potential of this treatment for acne vulgaris.
Patients and Methods
All the patients, 19 men and 32 women, underwent PDT after a four week wash-out period from previous treatments. The average age of the patients was 28 years. All the patients gave informed consent. Four hours after the oral administration of ALA (Cosmo Bio, Tokyo, Japan) of 10 mg/kg B.W., acne lesions were exposed to polychromatic visible light with a metal halide lamp (USHIO INC, Tokyo, Japan). Figure 1 shows the spectral output of the light. The diameter of irradiated area and the irradiating distance from the lamp were 100 mm and 130 mm, respectively. Under the irradiation conditions, the total fluence rate and the energy-density uniformity of the light were 69.2 mW/cm2 and 11.5 %. The total light energy dose in one session was 60-80 J/cm2. All the patients underwent two sessions of PDT and received no other treatments after PDT or during the follow-up period. The interval between the two PDT sessions was 2-4 weeks. Using the photographs taken before and three months after the final PDT treatment, the number of papulopustular, but not comedonal lesions, was counted. The physician’s clinical assessment as worsened, unchanged, improved, and marked improved was also performed. All the patients were interviewed about adverse effects, and seven of the patients underwent blood tests before and after the oral administration of ALA.
Fig. 1. Spectral output of the metal halide lamp.
Results
Most of the patients had an apparent improvement in body appearance, as shown in Figure 2. Table 1 summarizes the therapeutic results according to the physician’s clinical assessments. The numbers of patients worsened, unchanged, improved, and marked improved in the rating assessment were 0 (0 %), 4 (7.8 %), 16 (31.4 %), and 31 (60.8 %), respectively. The average reduced rate of the numbers of papulopustular lesions after and before ALA-PDT was 18 %.
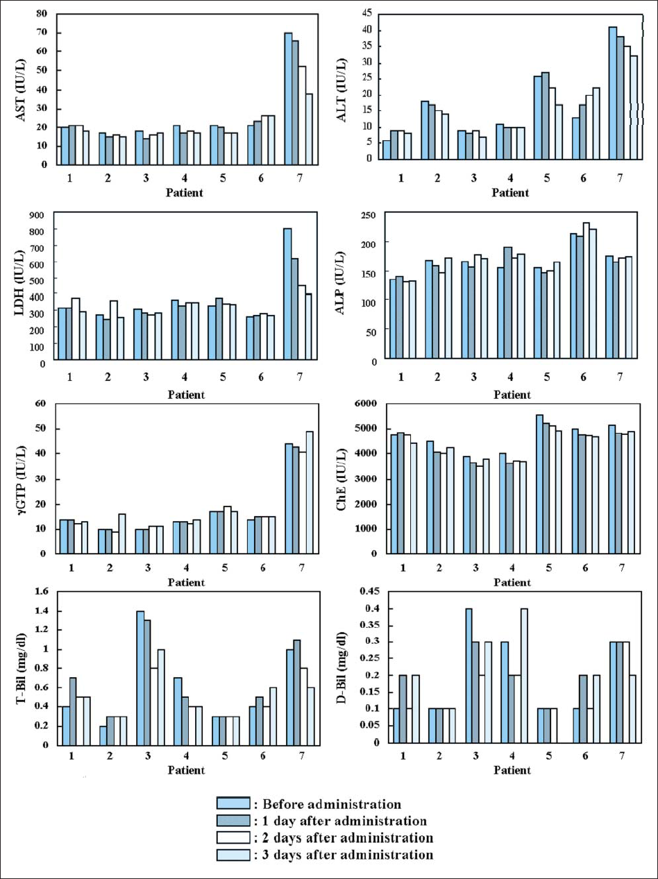
All the patients tolerated the light irradiation, but 5 of them complained of very slight discomfort, burning and stinging during the irradiation. Five patients complained of transient nausea after the oral administration of ALA. Figure 3 presents the results of blood tests before and after the oral administration of ALA. The values for the test items of each patient were within their normal ranges.
Fig. 2. Apparent improvement in body acne patient treated by ALA-PDT. (A): Before treatment, (B): Three months after treatment.
Table 1. Clinical assessment
Fig. 3. Time changes in blood tests of Patients 1-7 with ALA dosage of 10 mg/kg B.W.
Discussion
We tried to clinically treat intractable acne on the body by orally administering ALA-PDT in combination with polychromatic visible light from a metal halide lamp. Based upon the apparent improvement and the physician’s clinical assessments, this treatment was verified to be effective in curing intractable acne on the body.
With the topical administration of ALA for acne treatment, there are several adverse effects including discomfort, burning, and stinging during irradiation, edema, erythema, epidermal exfoliation, and post-inflammatory pigmentation (1, 2). In the present case, we also found some adverse effects: very slight discomfort, burning, and stinging during the irradiation of the light, which were less than those with topically administered ALA-PDT. This advantage of orally administered ALAPDT for acne may be due to the local accumulation of ALA-induced PpIX (ALA-PpIX). The fluorescence micro graphs of skin with accumulated ALA-PpIX previously convinced us that the oral administration of ALA enables ALA-PpIX to accumulate only in pilosebaceous units, not in epidermis, whereas the topical administration of ALA obviously induces epidermal accumulation of PpIX (5). Thus, the distinctive accumulation of ALAPpIX in orally administered ALA-PDT does not result in epidermal damage.
When systematically administered, ALA is metabolized in liver and hematopoietic organs and then is mostly excreted through the kidneys. Administration of ALA over 20 mg/kg B.W. results in photosensitivity in the epidermis and elevation of blood liver enzyme levels within 24 hours because of temporary liver dysfunction (6). In the present case, however, the blood tests before and after oral administration of ALA showed no liver dysfunction after oral administration of ALA within 10 mg/kg B.W. The high acidity of ALA was suspected to be the reason why some patients suffered nausea.
Polychromatic visible light sources can irradiate larger uniform skin-surface areas than laser light sources. Other advantages of polychromatic visible light sources are that their apparatuses are inexpensive and smaller. In particular, the metal halide lamp used in this experiment has a fluence rate around 630 nm that is only three times as large as those of ordinary halogen and xenon lamps (4) and can simultaneously excite not only ALA-PpIX but also another type of photosensitizer, photoprotoporphyrin, which is produced in the photosensitizing process of ALA-PpIX (7). This metal halide lamp is therefore considered to be useful as a light source for ALA-PDT in dermatology, especially for treatments of the body.
In conclusion, we verified that orally administered ALA-PDT with the metal halide lamp is effective in treating acne vulgaris on the body. We have already performed this treatment on about 2000 acne patients from July of 2000 to December of 2003 and have never seen any major adverse effects.
Acknowledgment
This study was partly supported by an Academic Frontier Promotion Grant from the Ministry of Education, Culture, Sports, Science and Technology of Japan.
