光技術情報誌「ライトエッジ」No.39(2013年6月発行)
第47回 日本水環境学会年会
(2013年3月)
ウイルス不活化の波長依存性を用いた
多波長光源の評価
立命館大院•理工 常喜 貴法
立命館大•理工 神子 直之 ウシオ電機㈱ 亀田 真二、渡邊 英典
Evaluation of Multi Wavelength Light Source with the Wavelength Dependence of Virus
Inactivation, by Takanori JOGI (Graduate School of Science and Eng. Ritsumeikan Univ.),
Naoyuki KAMIKO (College of Science and Eng. Ritsumeikan Univ.), Shinji KAMEDA,
Hidenori WATANABE (USHIO Inc.)
1. 背景•目的
耐塩素性病原微生物対策として紫外線(UV)消毒が一部の上水で適用可能となったが、中圧水銀ランプ(MP)のような多波長光源の不活化効果の評価は、各波長が有する不活化効果が不明瞭なため困難であるという点が挙げられる。
本研究では分光器を用いて各波長の不活化効果を調べ、ウイルスの波長依存性を明らかにし、その結果を用いて多波長光源の不活化効果の評価を検討することを目的とした。また230nm及び250nmを中心とする2種類の多波長光源UV-XEFLや222nm、282nmの単一波長を照射可能なエキシマUVランプなど数種類のUVランプを用いてウイルスに対する不活化効果について調べ、254nmの結果と比較•検討した。
2. 実験方法
本研究では滅菌蒸留水に大腸菌ファージφx174を投入したものを試料とした。分光器を用いた不活化実験では石英セル(内径1cm、高さ4.5cm)に試料を入れ、スターラーで撹拌しながら横から任意の波長のUVを照射した。光源はキセノンランプ、分光器は島津製作所製(SPG-120UV)を用いた。またUVランプを用いた回分式の不活化実験は、ガラスシャーレ( 内径4.2cm、水深1.7cm )に試料を満たし、気泡が入らないように石英ガラスで密閉し上からUVを照射した。UVランプは254nm低圧水銀ランプ(AY-1,日本フォトサイエンス)(LP)、222nm及び282nmエキシマランプ(ウシオ電機試作機)(EX222、EX282)、230nm及び250nmを中心とする2種類のUV-XEFL(ウシオ電機試作機)(230BB,250BB)の5種類を用いた。UV照度はUV照度計で測定しその値をKI/KIO3による化学光量計を用いて補正した値を使用し紫外線量を算出した。この時の各波長の量子収率はSalaら1)の論文を参考にした値を用いた。またファージ濃度は重層寒天培地法2)を用いて測定した。
3. 実験結果
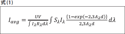
図1より分光器を用いた不活化実験では波長により不活化効率が異なることが分かった。またいずれの波長も一次反応的に不活化する傾向を示した。また図2よりUVランプを用いた回分式不活化実験では、光源ごとに異なる傾向を示した。短波長且つ単一波長であるほど少ない紫外線量で不活化された。230BBと250BBは幅広い波長が照射されているため、紫外線量を算出する場合に試料の吸光度分布やUV照度計の受光分布、ランプの照度分布、ウイルスの波長依存性を考慮して平均照度を算出した。式(1)で計算した平均紫外線照度Iavgに照射時間t(sec)を掛けて紫外線量を算出した。
Iavg:平均紫外線照度(mW/cm2)
UV:UV照度計の表示値(mW/cm2)
Iλ:波長λのランプ照度相対値
Rλ:波長λの受光分布相対値
Sλ:波長λの感受性相対値(但し今回はSλは1とした)
Aλ:波長λの吸光度
図1. 分光器を用いた不活化実験結果
図2. UVランプを用いた回分式不活化実験結果
4. 考察
UV消毒は核酸(DNA)に損傷を与えることで微生物を不活化する。今回の結果は各波長の核酸に対する吸収率が異なることから表1に示すように各波長の90%不活化に必要な紫外線量(1Log不活化紫外線量:D10)に差ができたと考えられた。また同一波長において分光器とUVランプとでの結果が一致しなかった。照射条件やスリットの半値幅の影響により差ができたと考えられた。
表1: 各波長の1Log不活化紫外線量D10の比較
5. 結論
分光器を用いて様々な波長でウイルスの不活化について検討し、波長ごとに不活化効率が変わることを確認した。また数種類のUVランプを用いた回分式不活化実験では短波長且つ単一波長であるほど不活化効率が高かった。
論文を探す
今号では、各種の光源(半導体露光用EUV、複写機用LED、高輝度・長寿命・高安定のLDLS、光加熱用ハロゲンヒータなど)や、光の装置・システム(インターポーザ基板用露光装置、スマートフォン・タブレット端末用UVキュア、新規蛍光免疫素子Q-bodyによる薬物検出システムなど)など、2012年春から2013年春にかけて発表した技術や市場動向の論文15件を掲載しました。
シリーズ「大学研究室を訪ねて」では、新しい機能性タンパク質と有機メソッドの創製に挑む、東京工業大学資源化学研究所の上田先生をお訪ねし、開発に成功され、今、話題を集めているQ-bodyを用いた免疫測定法をご紹介しております。
(2013年06月)
