USHIO

光技術情報誌「ライトエッジ」No.18(2000年3月発行)

レーザー研究 ’99/8号

(1999年8月)

CsLiB6O10結晶(CLBO)を用いた193nm光源の開発
193 nm Generation by Optical Frequency Conversion Using
CsLiB6O10 Crystal(CLBO)

出来恭一,佐久間純,大迫康,Andrew Finch,横田利夫,堀口昌宏,
森勇介*,佐々木孝友*
(株)ウシオ総合技術研究所(〒412-0038 静岡県御殿場市駒門1-90)
*大阪大学工学部(〒565-0871 大阪府吹田市山田丘2-1)
Kyoichi DEKl,Jun SAKUMA,Yasu OHSAKO,Andrew FINCH,Toshi YOKOTA,
Masahito HORIGUCHI,Yusuke MORI*,and Takatomo SASAKI*
USHIO Research Institute of Technology Inc., 1-90 Komakado, Gotenba, Shizuoka 412-0038
*Faculty of Engineering, Osaka University, 2-1 Yamada-oka, Suita, Osaka 565-0871

(Received April 8, 1999)

Two sum-frequency mixing scheme for 193-nm generation have been investigated usingCLBO as the final mixing crystal. One scheme mixes the output of an optical parametricoscillator, operating at 2.1 µm, with the 5th harmonic of a Nd: YAG laser. The second scheme mixes the fundamental wave of a Nd: YAG laser (1064.2 nm) with ultraviolet light at 236.4nm. In the latter scheme, according to the Sellmeier equations obtained from the published refractive index data, Type I CLBO shoud critically phase-match to generate 193.4-nm output. However, in our experiments, no phase matching at room temperature was observed. The CLBO did show non-critical phase-matching (NCPM) at the wavelength combination: λ1=1064.2 nm, λ2=238.8 nm and λ3= 195.0 nm at room temperature (24°C C). In a temperature tuning experiment performed with this mixing scheme (λ1 fixed at 1064.2 nm and λ2 varied), it was discovered that CLBO needs to be cooled below -180°C in order to generate 193.4 nm.

Key Words: CLBO, Sum-frequencey mixing, 193 nm, Tuning rate

1. はじめに

近年エレクトロニクスの超微細化,超小型化の進展,高度医療技術の進展等に伴い,深紫外コヒーレント光源の需要が増加してきている.例えば,半導体露光装置用光源,プリント基板の穴あけ加工用光源,眼科医療用光源等としてである.この分野では,エキシマーレーザーの利用が先行してきたが,固体レーザー励起用レーザーダイオードの品質や出力の向上,また新しい非線形光学結晶の開発と品質向上にともなって深紫外領域でも高出力の全固体化コヒーレント光源装置の実用化が可能となってきた.これまで筆者らは固体レーザーとその波長変換,特にCLBO結晶を用いて193nm近傍の波長を高出力に発生する社事に取り組んできた.ここでは,これまでの研究成果の内,低繰り返しレーザーを用いて得た波長変換に関する基礎特性をまとめて報告する.

2. 193nm光発生の方式検討

波長変換によってAfF エキシマーレーザーと同一の波長193.4nmを発生させる諸方式の内,基本波レーザーとしてNd:YAG,Nd:YLF、およびTi:Al2O3レーザーを仮定した場合について考える.Table1に有望と思われる非線形結晶とそれらを用いて計算上位相整合可能な和周波波長の組合せの代表例を示した.これらの内,BBOはTable 1 に示したすべての方式の最終段で位相整合するが193nm領域での吸収が大きく1)高平均出力の193nmの発生には不利である.先ず,方式Aは基本波レーザーの5倍波と21µm帯OPO光との和周波混合方式である.最終段の結晶としてはCLBO,LBO,CBO,BBO が位相整合する.OPOが発振する遅れ時間が生じるため,何らかの同期調節が必要である.方式Bは,Ti:Al2O3レーザー(773.6nm)の4倍波によって193nmを得ようとするもので,計算上非線形光学係数も大きく,方式Aのような同期調節も不要であり,一見有利であるが,上述のようにBBOの193mm領域での吸収が大きく高平均出力の発生には不利である.方式Cは,Ti:Al2O3 レーザー(967nm)の5倍波によって193nmを得ようとするもので,最終和周波段にはBBO 以外にCLBOも,文献5-7)のセルマイヤー方程式を用いた計算では位相整合し(実験的には未確認),方式Aのような同期調節も不要であるが,基本波であるTi:Al2O3レーザーの発振波長が利得中心から200nm以上ずれており総合的な変換効率の低下は否めない.

次に,方式DとEは,最終和周波段は全く同一である.基本波としてNd:YAGレーザーを考えた場合,1064.2nmと236.4nmとの和周波によって193nmを得ようとするもので,公表された3種のセルマイヤー方程式5-7)を用いた計算ではCLBOでも位相整合可能となるが.後章で詳述するように,CLBOを冷却しなければこの波長の組合せで位相整合しないことが明らかとなった2).方式DとEとで異なるのは236.4nmの発生方法である.方式DではTi:Al2O3レーザー(709.0nm)の3倍波によっているが.方式EではTi:Al2O3レーザー(708.3nm)とNd:YAGレーザーの3倍波(354.7nm)との和周波によっている.Ti:Al2O3レーザーの3倍波を発生させる場合,まずNd:YAGレーザーの2倍波を得,これによってTi:Al2O3レーザーを励起するが,このような方式をとるDに比較して.方式Eの場合には,Nd:YAGレーザーの3倍波を得,次にこれとTi:Al2O3レーザー(708.3nm)との和周波によって236.4nmを得でいるため,和周波段が1段増加するものの236.4nmまでの総合変換効率は方式Eの方が高いと考えられる.結論としては,方式AおよびEが高平均出力で193nm光を得るのに適した方式であると言える.本論文では,これら両方式の実験について以下に詳述する.

3. 方式Aの実験

方式Aの実験的検証を以下のように行った3).実験の概略構成をFig.1に示す.基本波レーザーとしてNd:YAGレーザー(Coherent社のInfinity 40-100)を用いた.パルス幅3.5nsec,最大400mJ/pulse,縦単一モードである.横モードは単一,top-hat 型で,ビーム直径5.5mmである.長距離伝搬時の波面歪みによる波長変換効率の低下が懸念されたため,5倍波発生段までイメージリレーを行った.最終和周波段にCLBOを用い,繰り返し周波数10Hzの場合と100Hzの場合の結果を各々Fig.2(a),(b)に示す.(a)の10Hzの場合3.8mJ,(b)のl00Hz の場合2.1mJ,従って平均出力0.21Wの出力が得られた.波長計による和周波波長計測では191.98nmとなり,OPO波長の測定で1.96µmを得たので91.98nmは妥当な値である.3.8mJ(10Hz)から2.1mJ(100Hz)ヘの出力減少は5倍波及び最終和周波段のCLBO結晶における熱誘起位相不整合(thermal dephasing)の増加によると考えられる.また,Table 2 に示すように基本波からの変換効率は10Hzの場合でも1.5%と非常に低い.平面波近似,基本波depletion,dephasingを考慮した理論計算ではおよそ24mJの出力が得られ,基本波からの変換効率は約9%程度が見積もれる.実験結果はこれに反しかなり低い値であった.この原因のうち主なものの1つはスペクトル許容幅と考えられる.λ1を幅が広いスペクトル,λ2を幅の狭いスペクトルと仮定した場合,CLBOType2SFM(e+o→e)のスペクトル許容幅(半値全幅)Δλ1は,dλ3/dλ1≅λ321 2 と近似できるので,次式のように表すことができる.

ここで,λi はµm単位での波長,ne,i(θ)は波長λiでのθ方位(位相整含方位)異常光線屈折率である.上式より,結晶長3.1mmのCLBOに対してOPOの許容幅はTable 3 に示したように約2.2nm と計算されるが,分光器で測定したOPO 出力のスペクトル輻は約20nm(FWHM)であった.熱誘起位相不整合の抑制と同様に,OPOの挟帯域化が1つの重要課題である.

次に最終和周波段の結晶をCLBOからLBOに代えて比較実験を行った.諸パラメータの比較をTable 3に,実験結果をFig.3(a),(b)に示す.10Hz,100Hzいずれの場合にもCLBOの方が大きな出力が得られた.Table 3 に示したようにLBOのdeffが小さいためLBO の結晶長をCLBO より長くしたが,それでもなおdriveの大きさの点ではCLBOの方が約1.7 倍大きく,また,LBO が長い分だけスペクトル許容幅,温度許容輻のいずれの点でもCLBO が有利となる条件となった.これらの理由によりCLBOで大きな出力が得られたと考えられる.

4. 方式Eの実験

4.1 方式Eの検証実験

1999年2月のASSL会議にてUmemuraら4)がCLBOの新しいセルマイヤー式を報告するまでは,少なくとも3つの異なる機関から報告されたCLBOのセルマイヤー式5-7)のいずれを用いても,Table 4にあげた波長の組み合わせの和周波混合によって室温で計算上位相整合することが知られていた.しかし,実際に実験してみるとTable 4 に示した波長の組み合わせでは室温で位相整合しないことが明らかとなった2).実験系をFig.4 に示す.λ1を1064.2nmに固定の状態でTi:Al2O3の波長を変えてλ2を可変にした.各波長はBurleigh社の波長計,WA4500 及びWA5500 で実測された.Ti:Al2O3の波長同調と狭帯域化は共振器内におかれた4個の分散プリズムと0.7mm厚のガラス板の回転によって行った.λ1の光源装置は縦,横単一モードのMOPA構成で,マス夕一発振器の共振器長は温度制御されており,約1週間の連続波長計測でもその安定度は高く,resettabilityを含めて10-6以下であった.テストしたCLBOは社内製のもの,国内メーカーの市販品の2種類を用いたが,いずれも室温(24°C)ではTable 4 に示した波長の組み合わせでは位相整合せず,λ1=1064.21nm,λ2=238.75nm,λ3=195.00nm の波長の組み合わせで90°位相整合(NCPM)することがわかった.この結果は最も新しいと思われるセルマイヤー式(文献4)の式(2))を用いた計算結果とよく一致した(Fig.5).なお,この時の基本波入力は合計287mJ,195nm出力は約1.2mJで,光-光の総合効率は0.56%で期待値(4%以上)を大きく下回った.2種の異なったレーザーを用いたため,パルス幅が一致していない(λ1:3.5nsec,λ2:10nsec)ことがその主因であるがその他にTi:Al2O3レーザーのjitterが大きかった(3nsec以上)こともあげられる.実機ではTi:Al2O3レーザーヘのseedingにより,jittefの原因であるbuildup timeの安定化が必要である.

4.2 温度同調による193nm光の発生

筆者らの目標は本方式とその最終和周波段にCLBOを用いてArFエキシマーレーザー波長に対応する193nm光を発生することにあったので,次にCLBOの温度同調を試みた.CLBO温皮は昇温時,冷却時を通じて電子的に±0.5°C以内に制御された.実験結果をFig.6に実線で示した.CLBOをほぼ-180°C以下に冷却すると193.4nm領域の光が得られることが明らかとなった.

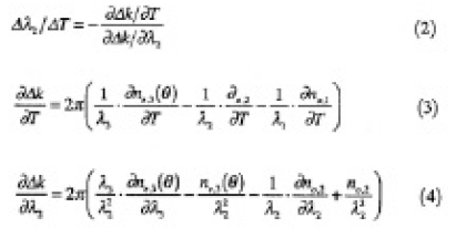
λ1を固定とした場合の温度同調時のλ2に対するtuningrateは,次式のように表現できる.

ここで,no,ine,iは波長λ1における常光線およぴ異常光線に対する屈折率である.公表された屈折率の温度に対する変化率∂n/∂T6)と,最も新しいと思われるセルマイヤー式(文献4)の式(2))とを用いた計算によるtuning rateをFig.6に点線で示した.実験値との比較表をTable 5に示す.この表には文献4)のセルマイヤー式と文献7)の∂n/∂Tとを用いた計算値も示した.いずれの計算値も実験値0.0145nm/°Cとは相違する.上式(2)の分母,即ち式(4)はセルマイヤー式の係数で決まり,分子,即ち式(3)は∂n/∂T で決まる.室温での位相整合が文献4)のセルマイヤー式を用いた計算値と実験値とがよく一致しているので,Table 5における相違の原因は∂n/∂T 値にあると考えられ,文献6,7)のいずれに示された∂n/∂T 値でもここで示された実験結果を説明できない.しかし最近になって梅村らが新しい∂n/∂T を公表した8).これと文献4)の式(2)とを用いた計算によるtuning rateは0.0143nm/°Cとなり実験結果ときわめてよい一致を示した.文献8)の適用温度範囲が室温から110°C程度までとのことであるが,実験結果との比較によると-180°C程度から+200°C程度まで適用可能であると思われる.

5. まとめ

ArFエキシマーレーザーにとって代わり得る固体光源装置の開発過程で得られた波長変換に関する成果を中心に報告した.CLBO最終和周波段に用いる波長変換で2種類の有望な方式について実験的検討を行った.一つの方式は基本波レーザー(1064nm)の5倍波と2.1µmとの和周波混合を行うもので,この方式によって,192nmで3.8mJ(10Hz),210mW(100Hz)を得た.また,LBOとの比較実験ではCLBOの193nm出力はLBOを凌鷺した.今回は実験する時点で入手できず比較検討できなかったがCBOとの詳細な比較が今後必要であろう.変換効率の向上には紫外線吸収に伴う熱誘起位相不整合を低減する方法の開発,2.1µm光の狭帯域化等が重要課題である.

もう1つの方式は基本波レーザー(1064nm)と236nm領域の光波との和周波混合を行うもので,計算上θ=76°付近で位相整合するはずであったが,この実験の過程で室温のCLBOでは位相整合せず193nm光が発生し得ないことが明らかとなった.ArFエキシマーレーザー波長に対応する193.4nmを発生するには,CLBOを-180°C程度以下に冷却しなければならないことを実験的に示した.また,この実験における温度同調特性は,最近公表されたCLBOの∂n/∂T8)とセルマイヤー式4)とを用いた計算値とよい一致を示した.

レーザーワード

CLBO結晶(CLBOcrytal)

化学組成CsLiB6O10の新非線形光学結晶で阪大佐々木教授らによって開発された.LBO,CBOと同じB3O7構造を持つボレート系結晶.空間群I42d,点群42mに属する.メルト法で育成でき大型化が可能.非線形光学定数d36=0.95pm/V(1064nm),吸収端は180nm.YAG レーザーの2-5倍波の発生が可能.BBOに比べウォークオフ角が小さく,角度及び温度許容幅が大きい.紫外域での高平均出力の波長変換素子として特に優れている.吸湿性があり,室温大気中放置で表面の屈折率が変化するなどのため通常150°C程度以上に加熱した状態で使用される.

(出来恭一)

GdYCOBB結晶(GdYCOB crystal)

ボレートを基本構造に持つ非線形光学結晶の一つ.単斜晶系に属し,希土類元素を置き換えた同族結晶が存在する.赤外光から可視,近紫外域への波長変換を行う際に利用できる.融液からの引き上げ法によって高速育成が可能な他,ガラスと同程度の硬さと,優れた耐水性を持つ.ガドリニウムとイットリウムの混合組成比を変えることで複屈折率の調整を行い,Nd:YAGレーザーの第2,第3高調波(波長:532nm,355nm)など,特定波長を非臨界位相整合という条件下で発生できる材料である.非臨界位相整合条件では,高調波出力の角度安定性が著しく向上する他,長い相互作用長を利用して高効率の変換が行えるといった利点がある.

(吉村政志)

Copyright © USHIO INC. All Rights Reserved.