USHIO

光技術情報誌「ライトエッジ」No.29(2007年8月発行)

2006.6 日本美容皮膚科学界誌

500nm以上の可視光線を用いた尋常性ざ瘡の光線治療
Acne phototherapy with polychromatic visible light with wavelengths over 500 nm

木村 誠1,2、佐賀 崇1、石崎 千明3、徳岡 由一4、川島 眞5
Makoto Kimura, Ph.D.1,2, Saga Takashi1, Chiaki Ishizaki, M.D.3,Yoshikazu Tokuoka, Ph.D.4, and Makoto Kawashima, M.D.5
1:Ushio Inc., Tokyo, Japan, 100-000.
2:Biomedical Engineering Center, Toin University of Yokohama, Yokohama, Japan, 225-8502.
3:Tsubasa Clinic, Tokyo, Japan, 160-0023.
4:Faculty of Biomedical Engineering, Toin University of Yokohama, Yokohama, Japan, 225-8502.
5:Department of Dermatology, Tokyo Women’s Medical University, Tokyo, Japan, 162-8666

Abstract

The purpose of this study is to investigate the clinical efficacy of phototherapy for acne vulgaris using a lamp light source, TheraBeam® VR, emitting polymeric visible light with wavelengths over 500 nm. At 200 J of light irradiation for four acne patients once a week up to 13 weeks, the reduction rate of comedo was enhanced, compared to non-irradiation side. Moreover, the irradiation of the light suppressed the number of anaerobic bacteria including Propionibacterium acnes isolated from the cheek, resulting in the comedo reduction. No patient experienced deterioration of acne lesion and side effects during the treatment; no patient complained of adverse effects in the light irradiation. These results, therefore, suggest that the phototherapy using TheraBeam® VR is clinically effective to reduce comedo, but not to ameliorate inflammatory lesions of acne vulgaris.

Keywords : Acne vulgaris, Phototherapy, Metal-halide lamp, comedo, TheraBeam® VR

要旨

500nm以上の可視光を照射できる光源装置セラビーム® VRを用いて、顔面の半側の尋常性ざ瘡に対して光線治療を施行し、その有効性について検証した。200Jの光照射を週1回、13週間施行した結果、非照射側と比較して非炎症皮疹(コメド)の減少率の増加が確認された。さらに、光照射前後における嫌気性菌の菌数を測定したところ、光照射によって嫌気性菌の増殖抑制が確認された。したがって、光照射に伴う非炎症性皮疹の減少は嫌気性菌の増殖抑制に起因すると考えられる。また、光照射に伴う症状の悪化および副作用、さらに、光照射時における熱感、疼痛等は認められなかった。以上の結果から、セラビーム®VRによる光線治療は、尋常性ざ瘡の非炎症性皮疹の改善に有効であることが示唆された。

キーワード:尋常性ざ瘡、光線治療、メタルハライドランプ、コメド、セラビーム® VR

1. はじめに

尋常性ざ瘡の治療方法の一つとして光線治療(PT)が注目されている。その作用メカニズムは、患部に波長400nm付近の光を照射することで、尋常性ざ瘡の原因のひとつであるPropionibacterium acnes (P.acnes)が産生するポルフィリン系化合物(コプロポルフィリンIII、プロトポルフィリンIX(PpIX)など)を光励起させ、生成される活性酸素種あるいはラジカル種を利用して、P.acnesや他の常在菌を殺菌し、皮脂腺を構成する細胞に損傷を与え、皮脂の産生を抑制することで症状を改善させるものである1)

しかし、一般に400nm付近の光は皮膚組織中の水分やメラニン色素によって吸収されやすいため、その皮膚組織深達度は低い2)。よって組織深達性を高め治療効果を向上させるためには、必然的に放射照度を増加させる必要がある。しかし、放射照度の増加は熱感および皮膚の乾燥の増強にもつながる。

600~700nmの可視光の生体組織深達度は、400nm付近の光より高いことが知られている3.4)。我々はこれまで、癌の光線力学的治療のための新たな光源装置として、NaイオンとLiイオンとをランプバルブ内に封入したメタルハライドランプ(Na-Liランプ)について検討してきた5.6)。このランプの放射光の波長領域は500~800nmであり、封入したNaイオンとLiイオンとの線スペクトルに相当する波長に、特異的に強い光を放射することができる。一方、PpIXに代表されるポルフィリン系化合物の吸収スペクトルを見てみると、500nm以上にQ帯とよばれる吸収ピーク群が存在する7)。このとき、Na-Liランプの線スペクトルの波長は、PpIXのQ帯における吸収ピークの波長にほぼ一致する。したがって、Na-Liランプは、低い放射照度の光を深部組織に送達してポルフィリン系化合物を効率良く光励起でき、尋常性ざ瘡のPTの代替光源としての応用が期待される。

本研究では、Na-Liランプを設置した光源装置セラビーム® VRを用いて尋常性ざ瘡8症例に対してPTを施行し、その有効性について検証した。尚、これらの臨床試験は医療法人社団新光会の倫理委員会で承認され、被験者の十分なインフォームド・コンセントを得て行われたものである。

2. 方法

2-1 光源

光源として、Na-Liランプを設置した光源装置セラビーム® VR(ウシオ電機社製)を用いた。セラビーム®VRの照射スペクトルを図1に示す。界面活性剤によって可溶化されたPpIX水溶液の吸収スペクトルも同時に図示した(図中点線)。両スペクトルを比較すると、本装置はPpIXのQ帯における吸収ピーク510、550、580および630nm付近に強い放射ピークを有することがわかる。また、正常組織に対する損傷をできるだけ軽減するために光の照射面と非照射面との境界をできるだけ明瞭にし、照射光の均一化を図るためにランプの輝点を対物レンズに結像させるケーラー照明法を採用した。さらに、照射面は、頬全体が一度の光照射できるように直径10cmの円形とした。直径10cmの照射円中央における放射照度は100mW/cm2であり、均一度は±20%であった。

図1 セラビーム®VRの放射スペクトル(実線)およびPpIXの吸収スペクトル(点線)

2-2 尋常性ざ瘡の治療

顔面に炎症性および非炎症性皮疹を合わせて10個以上を持つ、20歳から35歳までの尋常性ざ瘡患者8人(男性1人および女性7人)に対して十分なインフォームド・コンセントを得た上で、自由意思による文書同意を取得した後、セラビーム® VRを用いて治療を行った。照射前に洗顔し、両側顔面の写真を撮影して、それぞれの皮疹数を非炎症性および炎症性皮疹に分類してカウントした。そして、症状が重い方の半顔にセラビーム® VRを用いて、照射エネルギーが100あるいは200Jになるように光照射した。治療は週1回で計13回を限度とし、2回目以降は初回と同条件で光照射した。また、照射時には必ず症状を目視観察するとともに、光照射による熱感、疼痛等の副作用、その他の有害事象の有無を被検者に確認した。尚、試験前から行っていた治療については、試験期間中も変更せずに継続することとした。また、被験者8例すべて、試験期間中にサプリメントの服用は行っていたが、薬剤の服用は一切行っていなかった。

2-3 嫌気性菌に対する殺菌効果

初回、4回、8回および11回目の照射前に環境微生物検査薬用寒天培地(ぺたんチェックSCD、栄研器材社製)を被検者の両頬に直接に接触させて菌を採取し、48時間生育後、コロニー数を測定して嫌気性菌数を算出した。培養システムとしては、嫌気性菌簡易培養システム(アネロメイト-P、日水製薬社製)を用いた。また、初回の照射時のみ、光照射後の菌数も同様に測定した。尚、照射前後における菌の採取は、それぞれ洗顔から約10分および約45分後に行った。

3. 結果および考察

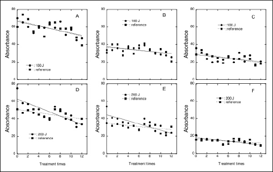
図2のA~Fに、100(n=4)および200J(n=4)光照射した際の、総皮疹数、非炎症性皮疹数および炎症性皮疹数の経時的推移を示す。各治療日ごとに、照射量別に被験者全員の平均の皮疹数を照射側および非照射側ごとに算出してグラフ化した。

100Jを照射した場合、総皮疹数(図2:A)は経時的に減少するものの、その減少率(1回の治療で減少する総皮疹数で、図中の回帰直線の傾きに相当)は非照射側のそれとほぼ一致した。一方、200Jを照射した場合(図2:D)、照射側の減少率は非照射側のそれより大きかった。次に、非炎症性と炎症性皮疹とに分類してみると、非炎症性皮疹(図2:B)では、100Jを照射したときの減少率は非照射側の減少率と同等で、200Jを照射したときの減少率(図2:E)は非照射側のそれより大きかった。一方、炎症性皮疹(図2:CおよびF)においては、いずれの照射エネルギーにおいても照射側と非照射側との減少率に大きな差は認められなかった。また、図3に照射側および非照射側の光照射(200J)前後における試験結果の一例を写真で示す。写真から明らかなように、照射側において皮疹数の顕著な減少が確認できる。尚、目視観察から、全症例において光照射による症状の悪化およびその他の有害事象は認められず、被験者からの光照射時の熱感、疼痛等の訴えもみられなかった。以上より、セラビーム® VRの200J照射は非炎症性皮疹、すなわちコメド数の減少に有効であることが示された。

図4に初回時における光照射前後の嫌気性菌の菌数変化を示す。ただし、縦軸は照射前の菌数に対する相対値である。非照射側の菌数の相対値は、いずれの場合も、1以上であり、菌数の増加が認められた。一方、100および200J照射後の菌数の相対値はほぼ1であり、照射前後で菌数に大きな変化は認められなかった。これらの結果から、光照射によって嫌気性菌の増殖が抑制されることがわかった。さらに、非照射側に対してt-検定をおこなったところ、100J照射側では有意差はみられなかったが、200J照射側ではp<0.05で有意差が認められ、照射エネルギーの増加に伴い増殖抑制効果の増大が認められた。

図5に4、8および11回目における治療前の嫌気性菌数の結果を示す。ただし、縦軸は図4と同様に初回の光照射前の菌数に対する相対値で示した。100J照射側では、いずれの治療回においても、非照射側と比較して、菌数に大きな差は認められなかった。一方、200J照射側の菌数は、非照射側の菌数より、わずかではあるが減少していることがわかった。つまり、200Jのくり返し照射による嫌気性菌の増殖抑制効果は持続されることが示唆された。

尋常性ざ瘡の発症原因の一つとして、嫌気性菌、特にP.acnesの増殖が挙げられる。一方で、P.acnesはコプロポルフィリンIII、プロトポルフィリンIX(PpIX)などのポルフィリン系内因性化合物を産生する。これらの化合物は、光増感作用により組織内で活性酸素やラジカル種を生成する。その結果、生成した活性酸素やラジカル種よってP.acnesを含む嫌気性菌が殺菌されるとともに、皮脂腺細胞に障害し、皮脂の分泌を抑制すると考えられる1)。実際に、これまで行われてきた尋常性ざ瘡のPTでは、皮膚組織のP.acnes数の減少と尋常性ざ瘡の治療効果との間に相関があることが明らかにされている8)。つまり、上述した200J照射による非炎症性皮疹の減少は、光照射に伴うP.acnesに対する殺菌作用による増殖抑制に起因すると考えられる。

本邦での尋常性ざ瘡に対する治療法は現在のところ、限られたものしかなく、選択の幅が狭い。特にレチノイド外用剤の使用が許可されていないため、非炎症性皮疹すなわち、コメドの治療において、ケミカルピーリング以外に選択肢はほとんどないと言える。そのような状況下において、今回の試験によって示されたコメド抑制効果から、非炎症性皮疹に対する治療法の新しいオプションとして、セラビーム® VRによる光治療も検討に値すると考える。

図2 光照射側(実線)および非照射側(点線)の皮疹数の経時的推移
A:100J照射の総皮疹数    B:100J照射の非炎症性皮疹数
C:100J照射の炎症性皮疹数  D:200J照射の総皮疹数
E:200J照射の非炎症性皮疹数 F: 200J照射の炎症性皮疹数

図3 200J光照射前後における照射側および非照射側の試験結果写真
A:光照射前(照射側) B: 光照射後(照射側) C: 光照射前(非照射側)D: 光照射後(非照射側)

図4 初回時における光照射前後の嫌気性菌の菌数変化

図5 4、8および11回目における光照射前の嫌気性菌数変化

謝辞

本研究において、光照射や試験全般にご協力いただきました、株式会社コスメックスに感謝の意を表します。また、装置開発にご協力いただいた、株式会社エムアンドエムに深謝致します。

Copyright © USHIO INC. All Rights Reserved.