レーザー研究 2019 年 47 巻 8 号
角度・波長・偏光多重制御によるレーザープロジェクター におけるスペックル低減
山田裕貴1,3,森安研吾1,佐藤弘人1,畑中秀和2,山本和久3
1ウシオ電機株式会社(〒675-0224 兵庫県姫路市別所町佐土1194)
2ウシオ電機株式会社(〒100-8150 東京都千代田区丸の内1-6-5 丸の内北口ビルディング)
3大阪大学レーザー科学研究所(〒565-0871 大阪府吹田市山田丘2-6)
Speckle reduction by angular, wavelength, and polarization diversities is widely used to suppress speckle in laser projectors. Although several methods achieve these three diversities, few have shown a quantitative comparison among these methods. Thus, in this study, we summarize the speckle reduction effect by the wavelength, angular, and polarization diversities introduced by several different methods. Angular diversity is altered by changing either the angular distribution of the illumination light or the speckle measurement condition. Wavelength diversity is introduced using the continuous spectrum of a Xe lamp with bandpass filters or multiple wavelength lasers. We also discussed the dependency between angular and wavelength diversities. Polarization diversity is introduced with an optical fiber to depolarize the laser light and rotating a half-wave plate to temporally change the polarization state. We also investigated the effect of depolarization on a matte screen.
1.イントロダクション
近年,シネマプロジェクターの高輝度化や高色域化,長寿命化のために,レーザープロジェクターの開発がさかんに行われている1, 2).しかし,レーザープロジェクターにおいては,スクリーンで散乱されたレーザー光が網膜上でスペックルと呼ばれる干渉パターンを形成し,画質を劣化させる問題が生じている3).したがって,レーザープロジェクター普及のためにはスペックルの低減が急務である.
スペックルには,単色スペックルと呼ばれる一つの原色の光のみを用いた場合に現れるスペックルと,カラースペックル4- 6)と呼ばれる複数の原色を同時に用いた場合のスペックルの二種類がある.いずれのスペックルもディスプレイの画質低下に繋がるため重要であるが,複数の原色を用いた場合にはそれぞれの単色スペックルを低減するとカラースペックルも低減するため,本稿では単色スペックルのみを取り扱う.
これまでに様々なスペックル低減手法が報告されており,代表的な方法としては,角度多重や波長多重,偏光多重などが挙げられる3, 7, 8).波長多重は連続的にスペクトル幅を増加させるか9, 10),多波長の光源を用いて離散的にスペクトル幅を広げることでスペックル低減する方法で11– 13),角度多重はスクリーン照射光の角度分布によってスペックルを低減する方法14, 15),偏光多重は,スクリーンへの照射光に無偏光の光を用いるか,スクリーンによる偏光解消によってスペックルを低減する方法である3, 8).一般的に,プロジェクターでのスペックル低減にはこれらの手法を組み合わせて用いられている.
プロジェクターで波長多重・角度多重・偏光多重を実現する方法は複数存在するが,これまでの研究ではそれら異なる方法の定量的な比較はなされてこなかった.したがって,本稿では波長多重・角度多重・偏光多重を様々な方法で実現した場合の効果を研究した結果について述べる.
角度多重度を変化させる方法としては,スクリーン入射光の角度分布を変化させて,照射光のコヒーレンス領域のサイズを変化させる方法と,スペックル測定系を変化させ,スクリーン上の解像サイズを変化させる方法がある.後者の効果は観測者の位置によるスペックルの違いに影響を与える.本研究では,入射光の角度分布を変化させた場合と,スペックル測定系の条件を変化させた場合の両方による角度多重への影響を調査した.
波長多重の方法としては,連続スペクトルの波長幅変化させる方法と,離散的に波長数を増やす多波長化の二通りの方法がある.本研究では,ランプ光源とバンドパスフィルターを用いることで連続的なスペクトルのスペクトル幅を変化させて連続スペクトルでの波長多重の効果の測定を行い,同じプロジェクターで多波長のレーザーを用いた場合と比較することで,二通りの波長多重の方法について定量的に比較を行った.
また,これまで角度多重と波長多重によるスペックル低減は独立に取り扱われることがほとんどであった8, 16).しかしながら,我々はこれまでに2波長のレーザーを用いて波長多重によるスペックル低減と角度多重によるスペックル低減には依存性があることを明らかにした17, 18).本稿では,5波長のレーザーを用いた場合について,角度多重度が多波長化によるスペックル低減に与える影響を調査した.
偏光多重の方法としては,直線偏光のレーザー光を光ファイバーに通すことで偏光解消して偏光多重を導入する方法と,波長板を回転させることで偏光状態を時間的に変化させることで偏光多重を導入する方法についてスペックル低減効果の調査を行った.また,マットスクリーンについてはスクリーンでの偏光解消によるスペックル低減についても調査した.
スペックルには,単色スペックルと呼ばれる一つの原色の光のみを用いた場合に現れるスペックルと,カラースペックル4- 6)と呼ばれる複数の原色を同時に用いた場合のスペックルの二種類がある.いずれのスペックルもディスプレイの画質低下に繋がるため重要であるが,複数の原色を用いた場合にはそれぞれの単色スペックルを低減するとカラースペックルも低減するため,本稿では単色スペックルのみを取り扱う.
これまでに様々なスペックル低減手法が報告されており,代表的な方法としては,角度多重や波長多重,偏光多重などが挙げられる3, 7, 8).波長多重は連続的にスペクトル幅を増加させるか9, 10),多波長の光源を用いて離散的にスペクトル幅を広げることでスペックル低減する方法で11– 13),角度多重はスクリーン照射光の角度分布によってスペックルを低減する方法14, 15),偏光多重は,スクリーンへの照射光に無偏光の光を用いるか,スクリーンによる偏光解消によってスペックルを低減する方法である3, 8).一般的に,プロジェクターでのスペックル低減にはこれらの手法を組み合わせて用いられている.
プロジェクターで波長多重・角度多重・偏光多重を実現する方法は複数存在するが,これまでの研究ではそれら異なる方法の定量的な比較はなされてこなかった.したがって,本稿では波長多重・角度多重・偏光多重を様々な方法で実現した場合の効果を研究した結果について述べる.
角度多重度を変化させる方法としては,スクリーン入射光の角度分布を変化させて,照射光のコヒーレンス領域のサイズを変化させる方法と,スペックル測定系を変化させ,スクリーン上の解像サイズを変化させる方法がある.後者の効果は観測者の位置によるスペックルの違いに影響を与える.本研究では,入射光の角度分布を変化させた場合と,スペックル測定系の条件を変化させた場合の両方による角度多重への影響を調査した.
波長多重の方法としては,連続スペクトルの波長幅変化させる方法と,離散的に波長数を増やす多波長化の二通りの方法がある.本研究では,ランプ光源とバンドパスフィルターを用いることで連続的なスペクトルのスペクトル幅を変化させて連続スペクトルでの波長多重の効果の測定を行い,同じプロジェクターで多波長のレーザーを用いた場合と比較することで,二通りの波長多重の方法について定量的に比較を行った.
また,これまで角度多重と波長多重によるスペックル低減は独立に取り扱われることがほとんどであった8, 16).しかしながら,我々はこれまでに2波長のレーザーを用いて波長多重によるスペックル低減と角度多重によるスペックル低減には依存性があることを明らかにした17, 18).本稿では,5波長のレーザーを用いた場合について,角度多重度が多波長化によるスペックル低減に与える影響を調査した.
偏光多重の方法としては,直線偏光のレーザー光を光ファイバーに通すことで偏光解消して偏光多重を導入する方法と,波長板を回転させることで偏光状態を時間的に変化させることで偏光多重を導入する方法についてスペックル低減効果の調査を行った.また,マットスクリーンについてはスクリーンでの偏光解消によるスペックル低減についても調査した.
2.角度多重によるスペックル低減
まず,Fig. 1に示した実験系を用いて角度多重によるスペックル低減の実験を行った.レーザー光は振動拡散板で拡散された後,光ファイバーに半角0.3 rad程度で入射し,ロッドインテグレータ内で均一化した.ロッドインテグレータの端面像をシルバースクリーン(Finesilver 240,菊池科学研究所)に投影し,CCDカメラ(BS-44DUV,ビットラン株式会社)を用いてスペックルの測定を行った.
Fig. 1 Experimental setup to measure speckle reduction by angular diversity.
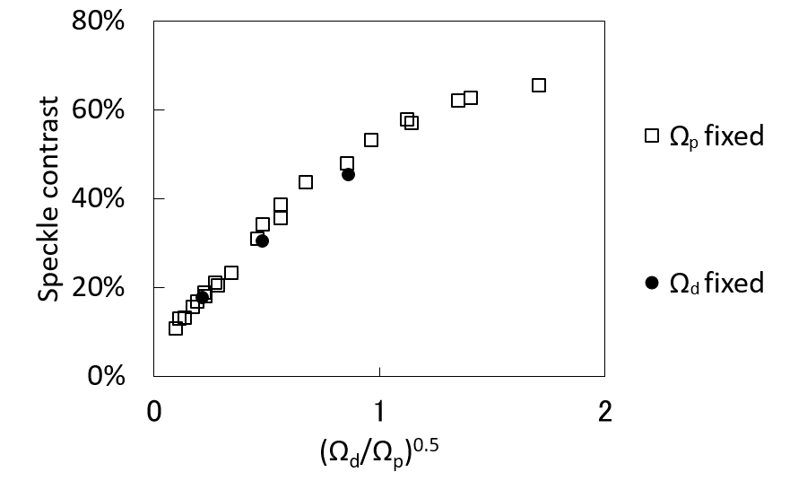
角度多重によるスペックル低減は,スクリーンの一点に入射する入射光の立体角Ωpと,スクリーンの一点からカメラのアパチャーを見込む立体角Ωdの比に依存する3, 8).従って,角度多重を変化させる方法として,入射光の立体角Ωpを変化させる方法と,カメラアパチャーを見込む立体角Ωdを変化させる方法の二通りがある.本実験では,ロッドインテグレータ後のコリメートレンズの焦点距離を変えてΩpを変化させる方法と,カメラのアパチャーサイズ,スクリーン・カメラ間距離を変えてΩdを変化させる方法の二通りで角度多重度を変化させてスペックルの測定を行った.
Fig. 2に実験結果を示す.●はΩpを変化させた結果で,□はΩdを変化させた結果を示す.Ωpを変化させるため,コリメーションレンズはf = 4.3 mmから18 mmまで変化させた.また,Ωdを変化させるため,スクリーン・カメラ間距離を240 mmから700 mmまで,アパチャーサイズを直径0.2 mmから1.0 mmまで変化させた.
Fig. 2 Speckle contrast measured on the silver screen with various angular diversity. (●) Angular diversity is changed by changing Ωp. Ωd is fixed. (□) Angular diversity is changed by changing Ωd. Ωp is fixed.
両者の結果を比較することで,いずれの方法で角度多重度を変化させた場合でも,スペックルコントラストはΩd/Ωpに対して同様の変化することが明らかになった.
Trisnadi8)やGoodman3)は,角度多重によるスペックル低減RΩはΩp>ΩdのときにRΩ = (Ωp/Ωd)0. 5と近似できると報告している.これは,スクリーン上でのコヒーレンス領域の大きさsとカメラの解像スポットの大きさdとの比がs:d = Ωd:Ωpであることから,カメラの解像スポットの中でおよそN = d/s = Ωp/Ωd個の独立なスペックルパターンが発生すると近似しているためである.しかし,Fig. 2の結果ではスペックルコントラストはCΩ = 1/RΩ= (Ωd/Ωp)0. 5よりも小さく,特に角度多重が小さい場合,すなわち(Ωd/Ωp)0. 5が大きい場合に近似からのずれが大きくなっている.
これは,コヒーレンス領域やカメラの解像スポットのサイズが非連続的に定まっているものではなく,連続的に相関が変化しているためであると考えられる.例えばΩp = Ωdの場合にはコヒーレンス領域とカメラの解像スポットのサイズが等しくなり,上記の近似によるとカメラの解像スポット1つの中で独立なスペックルパターンが1つしか発生しないためスペックルは低減しない.しかし実際にはカメラの解像スポット内(つまりコヒーレンス領域内)全域で完全にコヒーレンスがあるわけではないため,スペックルコントラストが減少していると考えられる.
3.波長多重によるスペックル低減
3.1 実験1:連続的なスペクトルによるスペックル低減
次に,波長多重によるスペックル低減に関する実験を行った.Fig. 3に波長多重によるスペックル低減の実験系を示す.Xeランプを搭載したDLPプロジェクターを用いてスクリーンに画像を投影し,投影された画像のスペックルコントラストをCCDカメラによって測定した.スクリーンは,マットスクリーン(Matt Plus, Harkness Screens Ltd.)とシルバースクリーンを使用した.単色の画像についてスペックルを測定するため,プロジェクターに緑色の画像を入力し,CCDカメラの前にバンドパスフィルターを設置することで,スペクトル幅を様々に変化させてスペックルの測定を行った.
Fig. 3 Experimental setup to measure speckle contrast of a DLP projector with a Xe lamp.
Fig. 4は緑色の画像を入力した場合にプロジェクターから出射される光のスペクトルを示す.スペクトルの測定には分光器(HR2000,Ocean Optics Inc.)を用いた.Fig. 4のスペクトル1はプロジェクターから出射された光をそのまま分光器に取り込んだ場合のスペクトル,スペクトル2~5はバンドパスフィルターを用いてスペクトルを狭窄化した場合のスペクトルである.Table 1に各々のスペクトルのスペクトル幅を示す.
Fig. 4 Spectra of green light from a Xe projector. Spectrum 1 is the spectrum of the green light from the projector. Spectra 2~5 are narrowed by using band pass filters.
次に,Fig. 4で示した5つのスペクトルについてスペックルコントラストの測定を行った.画像サイズは840 mm×1,600 mm,スクリーン・カメラ間距離は700 mmとし,人間の眼の解像力を模すためにカメラ前に設置したアパチャーサイズは1.0 mmとした18- 20).
スペックルコントラストの測定結果をTable 1に示す.マットスクリーン・シルバースクリーンともにスペクトル幅が狭くなるとスペックルコントラストが上昇していることがわかる.スペクトル幅(1/e2全幅)を86 nmから13 nmまで狭窄化することで,シルバースクリーン,マットスクリーンともに6割程度スペックルコントラストが増加することが確認された.
3.2 実験2:離散スペクトルと連続スペクトルによるスペックル低減効果の比較
次に,同一のプロジェクターヘッドに対して多波長のレーザーを用いて離散的なスペクトルによる波長多重を実現した場合21)と,前節で示したXeランプを用いて連続スペクトルによる波長多重を実現した場合について比較を行った.
Fig. 5に示すように,XeランププロジェクターからXeランプを取り除き,代わりに光ファイバー,レンズ,ロッドインテグレータ,拡散板を追加し,拡散板を透過した光がプロジェクターにもともと配置されていたロッドインテグレータに入射するように配置した.レーザーは,波長幅が0.1 nm~0.2 nm程度のSHGレーザーを用い,6~7 nm間隔で1波長~5波 長(523.9 nm,530.1 nm,536.4 nm,543.9 nm,550.1 nm)用いた場合について測定を行った.画像サイズ,スクリーン・カメラ間の距離,カメラ前のアパチャーサイズはXeランプを用いた場合と同じ値を用いた.
Fig. 5に示すように,XeランププロジェクターからXeランプを取り除き,代わりに光ファイバー,レンズ,ロッドインテグレータ,拡散板を追加し,拡散板を透過した光がプロジェクターにもともと配置されていたロッドインテグレータに入射するように配置した.レーザーは,波長幅が0.1 nm~0.2 nm程度のSHGレーザーを用い,6~7 nm間隔で1波長~5波 長(523.9 nm,530.1 nm,536.4 nm,543.9 nm,550.1 nm)用いた場合について測定を行った.画像サイズ,スクリーン・カメラ間の距離,カメラ前のアパチャーサイズはXeランプを用いた場合と同じ値を用いた.
Fig. 5 Schematic diagram of laser projector and speckle measuring system21).
Fig. 6にスペックルコントラストの測定結果を示す.レーザーを5波長用いた場合は,レーザーを1波長のみ用いた場合に比べてスペックルコントラストは顕著に低下していることがわかった.
Fig. 6にスペックルコントラストの測定結果を示す.レーザーを5波長用いた場合は,レーザーを1波長のみ用いた場合に比べてスペックルコントラストは顕著に低下していることがわかった.
Fig. 6 Speckle contrast of a DLP projector with Xe lamp or lasers on: (a) matte screen; and (b) silver
また,Xeランプとレーザーでスペクトル幅が同程度の場合には,シルバースクリーンではスペックルコントラストがほぼ同程度となっているが,マットスクリーンではスペックルコントラストに大きな乖離が見られた.この原因としては,スペックル低減に必要な波長間隔がシルバースクリーンとマットスクリーンで異なることが考えられる.2波長でスペックル低減する場合に必要な波長間隔は条件によって異なることが報告されているが17, 18),今回の測定条件ではシルバースクリーンでは8~10 nm程度,マットスクリーンでは1~2 nm程度である21).したがって,シルバースクリーンでは8 nm以下のスペクトル構造はスペックル低減に大きな影響は与えないため,今回の結果では連続スペックトルの場合と離散スペクトルの場合でほぼ同程度のスペックル低減効果が得られたと考えられる.
一方で,マットスクリーンの場合には1~2 nm程度の波長間隔があればスペックル低減できるため,スペクトル幅が同じ場合でも6~7 nm間隔の離散スペクトルよりも連続スペクトルのほうがよりスペックルが低減したと考えられる.
なお,波長多重の効果はスクリーンの表面粗さσhに依存することが知られている3).σhが大きいほど,波長変化に対するスクリーン散乱光の位相分布の変化が大きくなり,波長多重の効果が大きくなる.しかしながら,今回使用したスクリーンの表面粗さをレーザー顕微鏡によって測定した結果は,マットスクリーンが1.8 μm,シルバースクリーンが2.1 μmで,同程度の表面粗さであった17).つまり,マットスクリーンとシルバースクリーンの違いは表面粗さでは説明ができないことがわかった.
スクリーンの表面粗さ以外で波長多重の効果に影響を与える要因としては,スクリーンでの散乱の性質の違いが考えられる.シルバースクリーンは偏光を保持するため,入射光がスクリーン表面で一回だけ散乱するように設計されている.一方でマットスクリーンでは,散乱角度が大きいため複数回の散乱が生じており,また表面だけでなく体積的な散乱が生じている可能性がある.
複数回散乱や体積散乱が生じると,光がスクリーンに入射してから出射するまでの光路が表面での一回散乱の場合よりも長くなり,実質的に表面粗さが増加したような影響が生じる.そのため,表面粗さが同程度であるマットスクリーンとシルバースクリーンで波長多重の効果に顕著な差が生じたと推測される.
3.3 実験3:波長多重によるスペックル低減に対する角度多重度の影響
次に,角度多重度が波長多重によるスペックル低減与える影響についての確認を行った.Fig. 5に示した実験系で5波長のレーザーを用いた場合について,角度多重度を変化させた場合の多波長化によるスペックル低減効果を測定した.
5波長のレーザーは,波長間隔はおよそ1 nm(530.1 nm,531.4 nm,532.5 nm,533.5 nm,534.4 nm)のものを用いた.角度多重度は,プロジェクターの倍率を調整することで変化させた.倍率を大きくして画像サイズを大きくするほど,スクリーンの一点に入射する入射光の立体角Ωpが小さくなり,角度多重度が小さくなる.
これらのレーザーを用いて,波長の短い順に同時点灯する数を1個から5個まで順番に増やした場合のスペックルコントラストをFig. 7に示す.横軸は波長が最大のレーザーと最小のレーザーの中心波長差を示している.
5波長のレーザーは,波長間隔はおよそ1 nm(530.1 nm,531.4 nm,532.5 nm,533.5 nm,534.4 nm)のものを用いた.角度多重度は,プロジェクターの倍率を調整することで変化させた.倍率を大きくして画像サイズを大きくするほど,スクリーンの一点に入射する入射光の立体角Ωpが小さくなり,角度多重度が小さくなる.
これらのレーザーを用いて,波長の短い順に同時点灯する数を1個から5個まで順番に増やした場合のスペックルコントラストをFig. 7に示す.横軸は波長が最大のレーザーと最小のレーザーの中心波長差を示している.
Fig. 7 Speckle contrast of a DLP projector using 1~5
倍率が大きい,つまり角度多重度が小さい場合には,1波長のときのスペックルコントラストは39%程度で,5波長に多波長化することでスペックルコントラストが3割程度低減した.一方で,倍率が小さい,つまり角度多重度が大きい場合には,1波長のときのスペックルコントラストは19%程度と小さいが,5波長に多波長化することによるスペックル低減効果は1割程度であった.この結果から,多波長化によるスペックル低減の大きさは角度多重度に依存することがわかる.
これは,照射光がスクリーンで散乱される際に,スクリーンの凹凸に応じた位相分布の他に,入射角度に応じた位相分布が印加されることが要因であると考えられる.入射角度に応じた位相分布は,入射角度をθ,波長をλとするとsinθ/λに比例する.例えば,表面粗さが小さく,スクリーンの凹凸に応じた位相分布に比べて入射角度に応じた位相分布の方が十分大きい場合を考える.さらに,簡単のため照射光が2波 長(λ1, λ2)でともに平面波であるとする.
まず,各波長の入射角度が同じである場合を考えると,この場合はλ1 = λ2のときに位相分布の差が0となり,2波長の波長差が大きくなるほど位相分布の差も大きくなる.つまり,波長差が大きくなるほど2波長のスペックルパターンの相関が減少してスペックルが減少する.
次に,各波長の入射角度が異なる(θ1, θ2)場合を考える.この場合,位相分布の差はsinθ1/λ1−sinθ2/λ2に比例するため,位相分布の差が0となるのはλ1≠λ2のときとなる.つまり,2波長の差が大きくなっても位相分布の差が大きくなるとは限らず,スペックルパターンの相関を減少させるためにより大きな波長差が必要となる場合が生じる.照射光の角度分布が大きくなると,このような効果が大きくなり波長多重の効果に影響を与えていると考えられる.
倍率が大きい,つまり角度多重度が小さい場合には,1波長のときのスペックルコントラストは39%程度で,5波長に多波長化することでスペックルコントラストが3割程度低減した.一方で,倍率が小さい,つまり角度多重度が大きい場合には,1波長のときのスペックルコントラストは19%程度と小さいが,5波長に多波長化することによるスペックル低減効果は1割程度であった.この結果から,多波長化によるスペックル低減の大きさは角度多重度に依存することがわかる.
これは,照射光がスクリーンで散乱される際に,スクリーンの凹凸に応じた位相分布の他に,入射角度に応じた位相分布が印加されることが要因であると考えられる.入射角度に応じた位相分布は,入射角度をθ,波長をλとするとsinθ/λに比例する.例えば,表面粗さが小さく,スクリーンの凹凸に応じた位相分布に比べて入射角度に応じた位相分布の方が十分大きい場合を考える.さらに,簡単のため照射光が2波 長(λ1, λ2)でともに平面波であるとする.
まず,各波長の入射角度が同じである場合を考えると,この場合はλ1 = λ2のときに位相分布の差が0となり,2波長の波長差が大きくなるほど位相分布の差も大きくなる.つまり,波長差が大きくなるほど2波長のスペックルパターンの相関が減少してスペックルが減少する.
次に,各波長の入射角度が異なる(θ1, θ2)場合を考える.この場合,位相分布の差はsinθ1/λ1−sinθ2/λ2に比例するため,位相分布の差が0となるのはλ1≠λ2のときとなる.つまり,2波長の差が大きくなっても位相分布の差が大きくなるとは限らず,スペックルパターンの相関を減少させるためにより大きな波長差が必要となる場合が生じる.照射光の角度分布が大きくなると,このような効果が大きくなり波長多重の効果に影響を与えていると考えられる.
4.偏光多重によるスペックル低減
4.1 実験1:入射光の偏光状態
最後に,偏光多重によるスペックル低減についての調査を行った.Fig. 8に偏光多重によるスペックル低減の実験系を示す.レーザー光を長さ30 mの光ファイバーを通して偏光解消した後,偏光子や波長板等の偏光光学素子を通してスクリーンに投影した.
まず,散乱光の偏光を保存しないマットスクリーンと,偏光を保存するシルバースクリーンにおいてスクリーン入射光の偏光状態によるスペックルへの影響を調査するため,Fig. 8に示した偏光子2は用いず,偏光子1の有無及び波長板を静止させた場合と回転させた場合の組み合わせついてスペックルを測定し,比較を行った.
偏光子1の有無と,波長板回転の有無を組み合わせた際のスペックルコントラスト測定結果をFig. 9に示す.まずマットスクリーンの結果を見ると,偏光多重がない場合(ファイバーによって偏光解消された光を偏光子で再び直線偏光に変え,かつ波長板を静止させた場合)はスペックルコントラストが10%程度であった.偏光多重を導入した場合はスペックルコントラストが8.2~8.5%程度まで低下し,スペックルコントラストの低下量は偏光多重の方法によらずほぼ同程度であった.
まず,散乱光の偏光を保存しないマットスクリーンと,偏光を保存するシルバースクリーンにおいてスクリーン入射光の偏光状態によるスペックルへの影響を調査するため,Fig. 8に示した偏光子2は用いず,偏光子1の有無及び波長板を静止させた場合と回転させた場合の組み合わせついてスペックルを測定し,比較を行った.
偏光子1の有無と,波長板回転の有無を組み合わせた際のスペックルコントラスト測定結果をFig. 9に示す.まずマットスクリーンの結果を見ると,偏光多重がない場合(ファイバーによって偏光解消された光を偏光子で再び直線偏光に変え,かつ波長板を静止させた場合)はスペックルコントラストが10%程度であった.偏光多重を導入した場合はスペックルコントラストが8.2~8.5%程度まで低下し,スペックルコントラストの低下量は偏光多重の方法によらずほぼ同程度であった.
Fig. 8 Experimental setup to measure speckle reduction by polarization diversity.
Fig. 9 Speckle reduction by polarization diversity.
つまり,マットスクリーンでは照射光の偏光を時間的に変化させるか,ファイバー等を用いて照射光の偏光度を低くすることでスペックルを低減することが可能である事がわかる.
一方でシルバースクリーンの場合には,偏光多重の有無によらずスペックルコントラストはほぼ一定であった.つまり,偏光を保存するシルバースクリーンにおいては偏光多重によるスペックル低減の効果がないことがわかる.
異なる偏光同士は独立で干渉しないにもかかわらず,シルバースクリーンでは偏光多重によるスペックル低減効果がない理由は,次のように推察される.独立な二つの偏光がシルバースクリーンで散乱された場合,それぞれの偏光成分は互いに独立で干渉しない.しかし,それぞれの偏光成分について,スクリーンの同じ位置で散乱された光についてはスクリーンの凹凸パターンによって同じ位相分布が印加される.スペックルパターンはスクリーンで印加される位相分布によって決定されるため,結果として二つの偏光成分は同一のスペックルパターンを形成する.したがって,同一のスペックルパターンの重ね合わせとなりスペックルが低減しなかったと考えられる.
4.2 実験2:スクリーンによる偏光解消
次に,マットスクリーンに関してスクリーンでの偏光解消によるスペックル低減効果について検証を行うため,Fig. 8の実験系で偏光子1及び2の有無の組み合わせについてスペックルを測定し,比較を行った.この際,波長板は用いずに測定を行った.なお,シルバースクリーンでは偏光が保持されるため,偏光子の位置をスクリーンの前後で交換しても結果には影響を与えない.そのため,本実験はマットスクリーンのみで行った.
偏光子を使用しなかった場合,偏光子1のみ使用した場合,偏光子1と2を使用した場合についてそれぞれスペックルを測定した結果をFig. 10に示す.偏光子1と2を両方使用した場合と,偏光子1のみ使用した場合を比較すると,偏光子1によってスクリーン入射光を直線偏光とした場合には,偏光子2の有無によってスペックルコントラストが変化していることがわかる.つまり,スクリーンでの偏光解消によってスペックルが低減している.また,偏光子2を使用せずスクリーンでの偏光解消によってスペックルが低減している場合についても,偏光子1の有無によってスペックルコントラストが変化している.したがって,マットスクリーンでは入射光の偏光状態によるスペックル低減とスクリーンでの偏光解消の両方によってスペックルが低減することがわかる.
偏光子を使用しなかった場合,偏光子1のみ使用した場合,偏光子1と2を使用した場合についてそれぞれスペックルを測定した結果をFig. 10に示す.偏光子1と2を両方使用した場合と,偏光子1のみ使用した場合を比較すると,偏光子1によってスクリーン入射光を直線偏光とした場合には,偏光子2の有無によってスペックルコントラストが変化していることがわかる.つまり,スクリーンでの偏光解消によってスペックルが低減している.また,偏光子2を使用せずスクリーンでの偏光解消によってスペックルが低減している場合についても,偏光子1の有無によってスペックルコントラストが変化している.したがって,マットスクリーンでは入射光の偏光状態によるスペックル低減とスクリーンでの偏光解消の両方によってスペックルが低減することがわかる.
Fig. 10 Speckle contrast measured on the matte screen with various polarization diversity. The speckle contrast is different from the values in Fig. 9 because illumination condition is different.
入射光の偏光状態と,スクリーンでの偏光解消を合計した偏光多重によるスペックル低減の理論上の最大値は50%であるが3),今回の測定結果では入射光の偏光状態によるスペックル低減が75%程度,スクリーンでの偏光解消によるスペックル低減が75%程度であり,合計でスペックル低減は57%程度であった.入射光が完全には無偏光になっていない,スクリーンでの偏光解消が完全ではない,等の理由によって理論限界値との乖離が生じていると考えられる.
5.まとめ
本研究では,角度多重・波長多重・偏光多重を様々な方法で実現した場合の効果を研究した.角度多重については,スクリーンのある一点に入射する入射光の立体角Ωpを変化させる方法と,スクリーンの一点からカメラのアパチャーを見込む立体角Ωdを変化させる方法の二通りで角度多重度を変化させた.その結果,いずれの方法で角度多重度を変化させた場合でも,スペックルコントラストはΩd/Ωpに対して同様の変化を示した.
また,これまでに知られている角度多重によるスペックル低減効果の近似式CΩ = (Ωd/Ωp)0. 5と今回の実験結果との乖離が見られた.これは,コヒーレンス領域のサイズとカメラの解像スポットのサイズの比から角度多重の効果を算出する近似が,コヒーレンス領域内や解像スポット内での相関の連続的な変化を無視しているために生じていると考えらえる.
波長多重については,Xeランプとバンドパスフィルターを用いた連続スペクトルによる波長多重と,同じプロジェクターヘッドに対して6~7 nm間隔で多波長のレーザーを用いた離散的なスペクトルによる波長多重について実験を行った.
その結果,Xeランプとレーザーでスペクトル幅が同程度の場合には,シルバースクリーンではスペックルコントラストがほぼ同程度となり,マットスクリーンではスペックルコントラストに大きな乖離が見られた.これは,スペックル低減に必要な波長間隔がシルバースクリーンでは8~10 nm程度なのに対し,マットスクリーンでは1~2 nm程度であるためだと考えられる.波長多重の効果はスクリーンの表面粗さσhに依存することが知られているが,今回使用したマットスクリーンとシルバースクリーンは表面粗さが同程度であり,スクリーンの違いは表面粗さでは説明ができないことがわかった.スクリーンの表面粗さ以外で波長多重の効果に影響を与える要因としては,スクリーンでの散乱回数や,表面散乱や体積散乱といった散乱の性質の違いが考えられる.
波長多重と角度多重によるスペックル低減効果は,従来は独立に扱われることが多かったが,本研究では5波長のレーザーを用いて角度多重の大きさが波長多重によるスペックル低減効果に影響を与えることを示した.
また,マットスクリーンとシルバースクリーンについて偏光多重によるスペックル低減についても調査を行った.シルバースクリーンでは偏光多重によってスペックルが低減しないことが示された.一方,マットスクリーンでは入射光の偏光状態と,スクリーンでの偏光解消の両方によってスペックルが低減することが確認された.スペックル低減率は合計で57%程度であった.
また,これまでに知られている角度多重によるスペックル低減効果の近似式CΩ = (Ωd/Ωp)0. 5と今回の実験結果との乖離が見られた.これは,コヒーレンス領域のサイズとカメラの解像スポットのサイズの比から角度多重の効果を算出する近似が,コヒーレンス領域内や解像スポット内での相関の連続的な変化を無視しているために生じていると考えらえる.
波長多重については,Xeランプとバンドパスフィルターを用いた連続スペクトルによる波長多重と,同じプロジェクターヘッドに対して6~7 nm間隔で多波長のレーザーを用いた離散的なスペクトルによる波長多重について実験を行った.
その結果,Xeランプとレーザーでスペクトル幅が同程度の場合には,シルバースクリーンではスペックルコントラストがほぼ同程度となり,マットスクリーンではスペックルコントラストに大きな乖離が見られた.これは,スペックル低減に必要な波長間隔がシルバースクリーンでは8~10 nm程度なのに対し,マットスクリーンでは1~2 nm程度であるためだと考えられる.波長多重の効果はスクリーンの表面粗さσhに依存することが知られているが,今回使用したマットスクリーンとシルバースクリーンは表面粗さが同程度であり,スクリーンの違いは表面粗さでは説明ができないことがわかった.スクリーンの表面粗さ以外で波長多重の効果に影響を与える要因としては,スクリーンでの散乱回数や,表面散乱や体積散乱といった散乱の性質の違いが考えられる.
波長多重と角度多重によるスペックル低減効果は,従来は独立に扱われることが多かったが,本研究では5波長のレーザーを用いて角度多重の大きさが波長多重によるスペックル低減効果に影響を与えることを示した.
また,マットスクリーンとシルバースクリーンについて偏光多重によるスペックル低減についても調査を行った.シルバースクリーンでは偏光多重によってスペックルが低減しないことが示された.一方,マットスクリーンでは入射光の偏光状態と,スクリーンでの偏光解消の両方によってスペックルが低減することが確認された.スペックル低減率は合計で57%程度であった.
参考文献
1)H. Hatanaka and G. T. Niven: O plus E Opt. Electron. 36 (2014) 661.
2)黒田和男:レーザー研究 39 (2011) 390.
3)J. W. Goodman: Speckle Phenomena in Optics (Roberts and Company Publishers, Englewood, Colorado, 2007).
4)黒田和男:レーザー研究 42 (2014) 543.
5)K. Kuroda, T. Ishikawa, M. Ayama, and S. Kubota: Opt. Rev. 21(2014) 83.
6)J. Kinoshita, K. Yamamoto, and K. Kuroda: Opt. Rev. 25 (2018) 123.
7)P. Janssens and K. Malfait: Proc. SPIE 7232 (2009) 72320Y.
8)J. I. Trisnadi: Proc. SPIE 4657 (2002) 131.
9)N. E. Yu, J. W. Choi, H. Kang, D.-K. Ko, S.-H. Fu, J.-W. Liou, A. H. Kung, H. J. Choi, B. J. Kim, M. Cha, and L.-H. Peng: Opt. Express 22 (2014) 3547.
10)A. Furukawa, N. Ohse, Y. Sato, D. Imanishi, K. Wakabayashi, S. Ito, K. Tamamura, and S. Hirata: Proc. SPIE 6911 (2008) 69110 T.
11)D. V. Kuksenkov, R. V. Roussev, S. Li, W. A. Wood, and C. M. Lynn: Proc. SPIE 7917 (2011) 79170B.
12)M. Elbaum, M. Greenebaum, and M. King: Opt. Commun. 5(1972) 171.
13)N. George and A. Jain: Appl. Opt. 12 (1973) 1202.
14)S. Kubota and J.W. Goodman: Appl. Opt. 49 (2010) 4385.
15)M. Kurashige, K. Ishida, T. Takanokura, Y. Ohyagi, and M. Watanabe: J. Soc. Inf. Disp. 19 (2011) 631.
16)T.-K.-T. Tran, X. Chen, Ø. Svensen, and M. N. Akram: Opt. Express 22 (2014) 11152.
17)H. Yamada, K. Moriyasu, H. Sato, and H. Hatanaka: Opt. Express25 (2017) 32132.
18)H. Yamada, K. Moriyasu, H. Sato, and H. Hatanaka: J. Soc. Inf. Disp. 26 (2018) 237.
19) 久保田重夫:光学 39 (2010) 149.
20)S. Kubota: Appl. Opt. 53 (2014) 3814.
21)H. Yamada, K. Moriyasu, H. Sato, H. Hatanaka, and K. Yamamoto: J. Opt. 21 (2019) 045602.
2)黒田和男:レーザー研究 39 (2011) 390.
3)J. W. Goodman: Speckle Phenomena in Optics (Roberts and Company Publishers, Englewood, Colorado, 2007).
4)黒田和男:レーザー研究 42 (2014) 543.
5)K. Kuroda, T. Ishikawa, M. Ayama, and S. Kubota: Opt. Rev. 21(2014) 83.
6)J. Kinoshita, K. Yamamoto, and K. Kuroda: Opt. Rev. 25 (2018) 123.
7)P. Janssens and K. Malfait: Proc. SPIE 7232 (2009) 72320Y.
8)J. I. Trisnadi: Proc. SPIE 4657 (2002) 131.
9)N. E. Yu, J. W. Choi, H. Kang, D.-K. Ko, S.-H. Fu, J.-W. Liou, A. H. Kung, H. J. Choi, B. J. Kim, M. Cha, and L.-H. Peng: Opt. Express 22 (2014) 3547.
10)A. Furukawa, N. Ohse, Y. Sato, D. Imanishi, K. Wakabayashi, S. Ito, K. Tamamura, and S. Hirata: Proc. SPIE 6911 (2008) 69110 T.
11)D. V. Kuksenkov, R. V. Roussev, S. Li, W. A. Wood, and C. M. Lynn: Proc. SPIE 7917 (2011) 79170B.
12)M. Elbaum, M. Greenebaum, and M. King: Opt. Commun. 5(1972) 171.
13)N. George and A. Jain: Appl. Opt. 12 (1973) 1202.
14)S. Kubota and J.W. Goodman: Appl. Opt. 49 (2010) 4385.
15)M. Kurashige, K. Ishida, T. Takanokura, Y. Ohyagi, and M. Watanabe: J. Soc. Inf. Disp. 19 (2011) 631.
16)T.-K.-T. Tran, X. Chen, Ø. Svensen, and M. N. Akram: Opt. Express 22 (2014) 11152.
17)H. Yamada, K. Moriyasu, H. Sato, and H. Hatanaka: Opt. Express25 (2017) 32132.
18)H. Yamada, K. Moriyasu, H. Sato, and H. Hatanaka: J. Soc. Inf. Disp. 26 (2018) 237.
19) 久保田重夫:光学 39 (2010) 149.
20)S. Kubota: Appl. Opt. 53 (2014) 3814.
21)H. Yamada, K. Moriyasu, H. Sato, H. Hatanaka, and K. Yamamoto: J. Opt. 21 (2019) 045602.
Copyright © USHIO INC. All Rights Reserved
1107
1108
論文を探す
分野・業界
キーワード
掲載誌:ライトエッジ2020